Anomalous magnetic structure and spin dynamics in magnetoelectric LiFePO4

The magnetic structure of LiFePO<sub>4</sub>

The magnetic structure of LiFePO4 © HZB

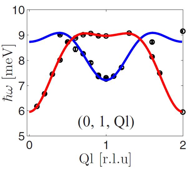
The magnetic excitations of LiFePO<sub>4</sub> as measured on the recently upgraded cold neutron triple axis spectrometer FLEXX. Two model dispersion branches were fitted to the data&mdash;a high-intensity one (red line) and a low-intensity one (blue line).

The magnetic excitations of LiFePO4 as measured on the recently upgraded cold neutron triple axis spectrometer FLEXX. Two model dispersion branches were fitted to the data—a high-intensity one (red line) and a low-intensity one (blue line).

The magnetic structure of LiFePO<sub>4</sub> (a) and the projections onto the bc plane (b) and ab plane (c), respectively. The magnetic moments are canted, both, relative to each other and relative to the crystallographic axes.

The magnetic structure of LiFePO4 (a) and the projections onto the bc plane (b) and ab plane (c), respectively. The magnetic moments are canted, both, relative to each other and relative to the crystallographic axes.

The magnetic structure in fields applied along b. The small field-induced difference in canting angle between the two spin pairs (1,2) and (3,4) is evident.

The magnetic structure in fields applied along b. The small field-induced difference in canting angle between the two spin pairs (1,2) and (3,4) is evident.

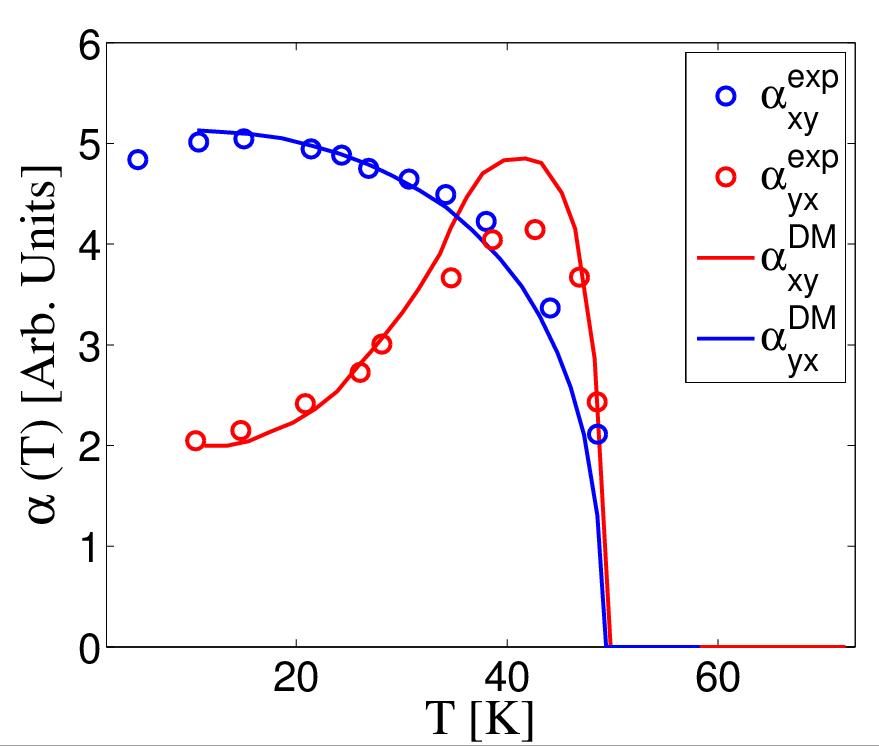
The calculated temperature dependence of the magnetoelectric coefficients &alpha;xy and &alpha;yx (lines) compared to experimental data from the literature (symbols). The excellent agreement confirms the anticipated model based on the Dzyaloshinsky-Moriya interaction as inferred from the neutron scattering data.

The calculated temperature dependence of the magnetoelectric coefficients αxy and αyx (lines) compared to experimental data from the literature (symbols). The excellent agreement confirms the anticipated model based on the Dzyaloshinsky-Moriya interaction as inferred from the neutron scattering data.

A team at HZB has recently unraveled intricate details of the magnetic structure and dynamics of the magnetoelectric compound LiFePO4.Such materials currently find use in sensors but there are promising perspectives for magnetoelectrics to be applied in data storage and spintronic devices as well.

Through a series of neutron scattering experiments at the BER II neutron source, HZB scientists found a new excitation branch in the material and signs of a non-collinear magnetic structure. This structure was shown to produce a magnetoelectric response through the so-called Dzyaloshinsky-Moriya interaction – a magnetic interaction originating in the atomic spin-orbit interaction. The modelled temperature dependence of the magneto-electric response is in good agreement with experiment. The results were published in Physical Review B.

In magnetoelectric materials, magnetization and electric polarization are coupled in the sense that applied magnetic fields can induce an electric polarization and vice versa. Such materials currently find use in sensors but there are promising perspectives for magnetoelectrics to be applied in data storage and spintronic devices as well. The coupling between magnetization and electric polarization arises when minor details of the crystal structure have a huge impact on the magnetic interactions and hence the magnetic structure.  LiFePO4, a model system for this class of materials, has been investigated by the HZB researchers who have now identified a minor canting of the magnetic moments to be the driving mechanism behind magnetoelectricity in this compound.

A canted magnetic structure

Using the triple axis spectrometer V2/FLEXX at the BER II neutron source, the magnetic excitations of antiferromagnetic LiFePO4 were measured along different crystallographic axes than previously (Fig. 1). Two branches in the excitation spectrum revealed a complex set of magnetic interactions and a large magnetic anisotropy. Strong magnetic anisotropy is usually a consequence of a significant spin-orbit contribution to the magnetic ground state. The significance of the spin-orbit coupling was confirmed when examining the magnetic structure in detail on the E5 diffractometer. Here, weak magnetic peaks revealed a magnetic structure where the magnetic moments are not entirely parallel but slightly canted towards each other (Fig. 2). Such canting can be caused by the spin-orbit induced Dzyaloshinsky-Moriya (DM) interaction that prefers magnetic moments to be perpendicular instead of parallel.

Modelling the magneto-electric response

This DM interaction is very sensitive to the symmetry of the crystal structure. Inducing an electric polarization with a magnetic field implies a movement of ionic charges inside the crystal, and therefore a lowering of the symmetry of the crystal structure. When applying a magnetic field on a canted magnetic structure, the canting angles and therefore also the DM energy will change (Fig. 3). The HZB team was able to show that LiFePO4 could adapt to this change by displacing the oxygen ions of the crystal and allowing DM interactions otherwise forbidden due to the crystal symmetry. Using this model, they calculated a temperature dependence of the magnetoelectric coefficients αxy and αyx which are the constants describing the linear relation between the magnetic field and the electric polarization. The calculated magnetoelectric coefficients have been found in good agreement with earlier experiments (Fig. 4) confirming that the anticipated model applies.

Reference:

Phys. Rev. B 92, 024404, “Anomalous magnetic structure and spin dynamics in magnetoelectric LiFePO4” – Published 6 July 2015, Rasmus Toft-Petersen, Manfred Reehuis, Thomas B. S. Jensen, Niels H. Andersen, Jiying Li, Manh Duc Le, Mark Laver, Christof Niedermayer, Bastian Klemke, Kim Lefmann, and David Vaknin

http://dx.doi.org/10.1103/PhysRevB.92.024404

RTP/KH/SZ

  • Copy link

You might also be interested in

  • The future of corals – what X-rays can tell us
    Interview
    12.11.2025
    The future of corals – what X-rays can tell us
    This summer, it was all over the media. Driven by the climate crisis, the oceans have now also passed a critical point, the absorption of CO2 is making the oceans increasingly acidic. The shells of certain sea snails are already showing the first signs of damage. But also the skeleton structures of coral reefs are deteriorating in more acidic conditions. This is especially concerning given that corals are already suffering from marine heatwaves and pollution, which are leading to bleaching and finally to the death of entire reefs worldwide. But how exactly does ocean acidification affect reef structures?

    Prof. Dr. Tali Mass, a marine biologist from the University of Haifa, Israel, is an expert on stony corals. Together with Prof. Dr. Paul Zaslansky, X-ray imaging expert from Charité Berlin, she investigated at BESSY II the skeleton formation in baby corals, raised under different pH conditions. Antonia Rötger spoke online with the two experts about the results of their recent study and the future of coral reefs.

  • What vibrating molecules might reveal about cell biology
    Science Highlight
    16.10.2025
    What vibrating molecules might reveal about cell biology
    Infrared vibrational spectroscopy at BESSY II can be used to create high-resolution maps of molecules inside live cells and cell organelles in native aqueous environment, according to a new study by a team from HZB and Humboldt University in Berlin. Nano-IR spectroscopy with s-SNOM at the IRIS beamline is now suitable for examining tiny biological samples in liquid medium in the nanometre range and generating infrared images of molecular vibrations with nanometre resolution. It is even possible to obtain 3D information. To test the method, the team grew fibroblasts on a highly transparent SiC membrane and examined them in vivo. This method will provide new insights into cell biology.
  • Iridium-free catalysts for acid water electrolysis investigated
    Science Highlight
    13.08.2025
    Iridium-free catalysts for acid water electrolysis investigated
    Hydrogen will play an important role, both as a fuel and as a raw material for industry. However, in order to produce relevant quantities of hydrogen, water electrolysis must become feasible on a multi-gigawatt scale. One bottleneck is the catalysts required, with iridium in particular being an extremely rare element. An international collaboration has therefore investigated iridium-free catalysts for acidic water electrolysis based on the element cobalt. Through investigations with various methods, among them experiments at the LiXEdrom at the BESSY II X-ray source in Berlin, they were able to elucidate processes that take place during water electrolysis in a cobalt-iron-lead oxide material as the anode. The study is published in Nature Energy.